96.FAX INBOX.bmp

97.FAX AUTBOX.bmp

98.FAX AUTBOX.bmp

99.FAX INBOX-.001.bmp

99.FAX INBOX-.002.bmp

99.FAX INBOX-.003.bmp


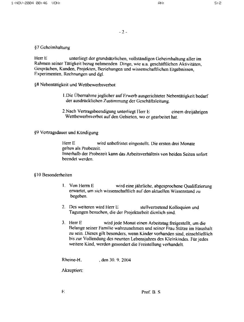
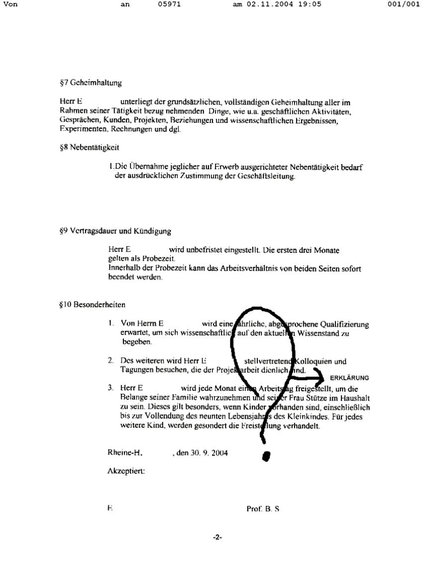
100.0. ERKLÄRUNG DES ARBEITSVORSCHLAGES-TEXT/
/BRIEF-SCHREIBEN
Dieses Faxschreiben, -(sehe unten BLATT NR.: 100.-001, 002,003), hat der, - Pr. S. B.
von mir gekriegt nach dem ich wegen seinen Arbeitsvorschlag mit Ihn gestritten
hatte, im Vorschlag stimmte die gesagte Nettosumme nicht die er auch mehrmals zum
schlechten geändert hatte, allerdings war die letzte Änderung bei seinen Vorschlag,
(sehe seinen Vorschlag), von Ihm, ganz schlecht, (Brutto Summe 1500 Euro monatlich),
also man kann das nicht mit das was er vor Monaten über den monatlichen Nettolohn
sagte aber auch handschriftlich mir gegeben hatte nicht vergleichen, und seine
Forderung das ich mindestens 2...3...Geschäftsabschlusse im Monat abschließe nannte
ich eine "Falle", er weis ganz genau das ich keine Erfahrung in diesen Gebiet habe,
wie kann er ohne das ich es kann so was von mir verlangen???, angeblich wollte er
mich helfen aber zugleich integrierte er selber Steine in den Weg, bei den Streit
den Tag wollte ich Schluss mit Ihm machen weil es keinen Sinn mehr hatte mit
Ihm zu reden, und so sagte er zu mir: E. da Du sagst das ich so schlecht
bin, schreib deinen eigenen Vertrag. Und so schrieb ich diesen Vertrag, (sehe
geänderten Vertrag von mir - unten), ich hatte mehr oder weniger seine Aussagen in
dem von mir erstellten Vertrag einbezogen. Ich sagte den Tag noch zu Ihm das nicht mal
er 2...3...Geschäftsabschlüsse monatlich schaffen würde und er beantwortete: Ja ich
schaffe es...Du kannst mal sehen wie viel ich arbeite. Nach erhalt meines Vorschlags,
(ich hatte den von mir geänderten Vertrag per Fax zu Pr. B. S. geschickt), sagte
der Professor das es unmöglich sei diesen Nettolohn Monatlich auszuzahlen, und er
sagte noch das auch für diese Tätigkeit die ich schrieb der Nettolohn zu hoch sei,
das bedeutet wenn ich seine Eingabe, also das ich 2...3...Geschäftsabschlüsse
monatlich schaffen sollte, nicht geändert hätte, wäre der von mir durch seine vorherige
Aussagen geänderte Eingabe über den Nettolohn, (ich schrieb 2800 Nettolohn im Vertrag),
in Ordnung, warum wollte er dann nur 1500 Euro monatlich und das Brutto mir geben????
???????????????????????????????????????????????????????????????????????????
also alles was er sagt stimmt gar nichts da kommen immer Widersprüche seinerseits,
und "ER" sagte doch das "ER" 45000 Euro Nettolohn im Jahr geben würde, (sehe dafür
Faxe von Ihm und von mir), ich allerdings bei den von mir geänderten Vorschlag, -(seine
Empfehlung), schrieb rein einen jährlichen Nettolohn von 33600 Euro, also weniger als
das was er sagte. warum sagt er dass des von mir angegebenen Nettlohn zu hoch sei????????
und über den Aufgabenbereich wusste er auch das ich überall mit Ihm gearbeitet hätte z.B.
mit Ihm bei Vermarktung von Ideen, oder neue Ideen erfinden aber auch beim bau von Ideen,
(Prototypen), und natürlich auch bei allgemeine Tätigkeiten hätte ich den Professor geholfen,
der Professor wollte es auch so, aber das was er im Vorschlag schrieb war niemals die
Rede. Er sagte dieses Jahr immer wieder zu mir das die Wirtschaft Schuld sei das bis jetzt
zu eine Vermarktung meiner Patenten nicht gekommen ist, warum sagt er dann das er
Monatlich...2...3.......Geschäftsabschlüsse vollbringt??????????????????????????????????
wenn die Wirtschaft so schlecht sei dann könnte er natürlich auch keine Geschäfte
abschließen ganz zu schweigen von ...2...3...Geschäftsabschlüsse im Monat...................
warum sagte er immer wieder zu mir das er für meine Arbeitseinstellung durch Ihm bis
her er kein Geld hatte??????????????????????????????????????????????????????????
das seine Finanzen nicht klar waren???????????????????????????????????????????????
wenn das, was er mir immer wieder gesagt hatte stimmte dann hätte er um mich
einzustellen schon längst Geld und er hätte auch meinen Ideen locker vermarktet,
wenn das stimmt dann musste er in diese jetzt über 4 Jahre wo ich Ihn kenne
Multimillionär sein, oder???????????????????????????????????????????????????????
Nur Widersprüche kommen von Ihm heraus, er schlägt selber sein eigenes Gesicht!!!!!!!!!!!.
100.FAX AUTBOX,-001.bmp

100.FAX AUTBOX,-002.bmp

100.FAX AUTBOX,-003.bmp

101.FAX AUTBOX.bmp

FÜR WEITER KLICKEN SIE BITTE HIER : „WEITER“